Hiện nay, dịch bệnh luôn là tác nhân gây thiệt hại lớn nhất trong chăn nuôi gia súc, gia cầm và thủy sản. Người chăn nuôi muốn khống chế được dịch bệnh phải dùng đến vaccin, các loại thuốc kháng sinh để ngăn ngừa và điều trị tác nhân gây bệnh. Tuy nhiên, việc sử dụng kháng sinh không được khuyến khích do hiện tượng đề kháng thuốc và tồn dư kháng sinh ảnh hưởng đến sức khỏe động vật và người tiêu dùng. Vì vậy, giải pháp hiệu quả và an toàn nhất đối với tình hình trên là người chăn nuôi nên sử dụng các chế phẩm sinh học, trong đó, chế phẩm chứa β-glucan và Mannan Oligosacchride (Biolex-MB40) ngày càng phổ biến không những thay thế kháng sinh mà còn giúp động vật tăng cường sức đề kháng, tăng khả năng miễn dịch, giảm tỷ lệ chết, tăng hiệu quả sử dụng thức ăn, giúp tăng trưởng nhanh và đạt được hiệu quả kinh tế cao.
β-glucan và Mannan Oligosacchride (MOS) là gì?

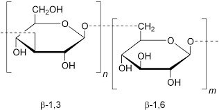
Công thức hóa học β-glucan
β-glucan là một polysaccharide tự nhiên, hợp chất đường liên phân tử được tạo nên từ các đơn phân tử D-glucose gắn với nhau qua liên kết β-glycoside có lợi ích sức khỏe, được chiết xuất chủ yếu từ thành tế bào nấm men, nấm, vi khuẩn. Nhiều nghiên cứu đã chứng minh β-glucan có tác dụng đến hệ miễn dịch ở động vật. Có nhiều loại β-glucans khác nhau như β-1.3-1.4-glucan, β-1,3-1,6-glucan, β-1,4-glucan, β-1,3-glucan,... nhưng chỉ có loại β-(1,3)(1,6)-glucan là có hoạt tính sinh học cao đối với sức khỏe động vật.

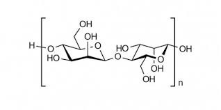
Công thức hóa học Mannan oligosacchride (MOS)
Mannan oligosacchride (MOS), được trích ly từ vách tế bào nấm men Saccharomyces cerevisiae. Các nghiên cứu chứng minh được rắng MOS có ảnh hưởng tích cực đến tình trạng sức khỏe đường ruột và khả năng kháng bệnh của gia súc, gia cầm và động vật thủy sản nhờ cơ chế ức chế quá trình liên kết giữa vi khuẩn gây bệnh với tế bào biểu mô ruột và giúp loại thải mầm bệnh ra ngoài cơ thể.
Cơ chế hoạt động của β-glucan và Mannan Oligosacchride (MOS) đối với hệ miễn dịch

β-glucan có bốn cơ chế chính đối với hệ miễn dịch của vật nuôi:
- Tạo ra các bạch cầu để phá hủy nguồn bệnh
- Huy động tế bào (khả năng của bạch cầu chuyển đến chỗ bị thương)
- Năng lực thực bào tế bào lạ (vi khuẩn, virus, …)
- Tạo ra chất trung gian hoạt hóa oxy và các nhân tố khác diết chết vật thể lạ.
Các nghiên cứu đã chỉ ra rằng, β-glucan đóng vai trò quan trọng trong việc kích hoạt cả hệ miễn dịch không đặc hiệu (bẩm sinh) và đặc hiệu. Khi bổ sung β-glucan qua đường thức ăn thì chúng đi qua biểu bì ruột, đến mô lympho tế bào ruột, gắn với đai thực bào ( là một thành phần chính của hệ miễn dịch không đặc hiệu) và hoạt hóa chúng theo hai hường. Hướng thứ nhất, giúp đại thực bào tăng cường khả năng thực bào tối ưu nhất giúp bắt và tiêu diệt được nhiều vi khuẩn gây bệnh. Hướng thứ hai là sản sinh cytokin tự nhiên, giúp hoạt hóa các tế bào NK, đại thực bào, tế bào T, tế bào B, kích hoạt hệ miễn dịch đặc hiệu tham gia bảo vệ vật chủ chống lại tác nhân gây bệnh.
Hơn nữa, β-glucan còn có khả năng liên kết và làm bất hoạt một số loại độc tố nấm mốc như: Aflatoxin B1, DON, Zearaenone…
Ngoài ra, β-glucan còn được biết đến là một chất bổ trợ, giúp tăng cường đáp ứng miễn dịch sau khi chủng ngừa vaccin cho vật nuôi, nó được chứng mình giúp làm tăng hiệu giá kháng thể với khoảng 60-80% sau khi chủng ngừa cho gà thịt vaccin New Castle và vaccin viêm phế quản truyền nhiễm (An et al., 2008).
Đối với Mannan oligosacchride (MOS), đây được xem là nguồn prebiotic cung năng lượng cho hệ vi khuẩn có lợi trong đường tiêu hóa như Lactobacilli, Bifidobacteria,… trong khi đó, các vi khuẩn gây bệnh lại không thể tiếp nhận. Do đó, việc bổ sung MOS vào đường ruột của vật nuôi giúp hạn chế được sự phát triển của vi khuẩn gây bệnh.

Chặn sự gắn kết của vi khuẩn và do đó ức chế sự xâm chiếm của vật chủ bằng MOS
MOS tham gia vào hệ thống phòng bệnh của cơ thể thông qua việc ức chế quá trình liên kết giữa vi khuẩn gây bệnh với tế bào biểu mô ruột. Phần lớn các vi khuẩn gây bệnh sẽ bám vào biểu mô ruột non, nhờ vào cấu trúc tương đồng giống như thụ thể tiếp nhận của biểu mô ruột, mà các MOS biến thành những chiếc bẫy bắt vi khuẩn, ngăn chúng gắn kết với thành ruột. Sản phẩm bẫy bắt vi khuẩn của MOS với vi khuẩn được loại thải theo phân ra khỏi cơ thể giúp làm giảm số lượng vi khuẩn gây bệnh trong đường tiêu hóa, nhờ đó cải thiện sức khỏe và giảm được tỷ lệ chết cho vật nuôi.
Nhờ vào sự kết hợp của β-glucans và MOS, vật nuôi giảm được số lượng vi khuẩn gây bệnh, hệ thống miễn dịch được cải thiện, hạn chế việc sử dụng kháng sinh phòng và chữa bệnh, giúp năng cao sức khỏe, giảm tỷ lệ chết trong đàn và tăng năng suất động vật.
Một số kết quả ứng dụng β-glucan và Mannan oligosacchride trong chăn nuôi
Thí nghiệm 1: Đánh giá hiệu quả của hỗn hợp β-glucan và Mannan oligosacchride (Biolex-MB40) đối với năng suất và sức khỏe đường ruột heo con. (Fuchs et al., Poland 2010)
Nghiên cứu được tiến hành trên tổng số 206 con heo con từ 2 đến 74 ngày tuổi, được chia thành 2 lô nghiệm thức:
-Lô đối chứng: gồm 102 heo con cho ăn khẩu phần ăn cơ bản
-Lô thử nghiệm: gồm 104 heo con cho ăn khẩu phần cơ bản có bổ sung thêm 0/2% Biolex-MB40
Kết quả: Biolex-MB40 giúp cải thiện tăng trọng hằng ngày và FCR trên heo con


Bên cạnh đó, có một số nghiên cứu cũng đã chứng minh hiệu quả của β-glucan trên heo như: S Dritz et al. (1995) chứng minh bổ sung β-glucan vào khẩu phần của heo con sau cai sữa với hàm lượng 0.025% giúp cải thiện tốc độ tăng trưởng và khả năng chống lại Streptococcus suis, kết quả nghiên cứu của Stuyven et al., 2009, Zhou et al. (2013) khẳng định việc bổ sung β-glucan vào khẩu phần ăn cho heo con giúp phòng bệnh tiêu chảy do vi khuẩn E.coli, nghiên cứu của Bos etal., Netherlands 2004 chứng minh β-glucan và MOS có khả năng thay thế được kháng sinh Avilamycine trên heo con, giúp giảm vi khuẩn gây bệnh, tăng lượng ăn vào và giảm FCR.
Thí nghiệm 2: Thử nghiệm chứng minh hiệu quả của β-glucan và Mannan oligosacchride (Biolex-MB40) đối với sức khỏe đường ruột của gà thịt (Dukic-Stojcic, Serbia 2014)
Thực hiện với tổng số 560 con gà thịt hybrid Ross 308, chia thành 2 lô nghiệm thức, mỗi lô thực hiện 8 lần lặp lại.
-Lô đối chứng:208 con gà thịt cho ăn khẩu phần ăn cơ bản
-Lô thử nghiệm: 208 con gà thịt cho ăn khẩu phần cơ bản có bổ sung 0.2% Biolex-MB40
Kết quả: Biolex-MB40 giúp cải thiện đáng kể hình thái ruột của gà thịt về chiều cao lông nhung, độ sâu Crypt và tỷ lệ V/C của ruột.


|
Chỉ tiêu |
Đối chứng |
Biolex-MB40 |
Cải thiện |
|
Số con gà thịt |
350 |
350 |
|
|
Lượng ăn vào (g/ngày) |
103,0 |
104,3 |
1,3 % |
|
FCR |
1,90 |
1,86 |
2,1 % |
|
Tăng trọng hằng ngày (g/ngày) |
54,19 |
56,14 |
|
|
Khối lượng kết thúc (g) |
2276a |
2358b |
3,6 % |
|
Khổi lượng thân thịt(n) |
1818a |
1911b |
5,1 % |
|
Tỷ lệ chết (%) |
5,71 |
3,21 |
44 % |
Rathgeber et al. (2009), cho biết bổ sung β-glucan với tỷ lệ 0.1% vào thức ăn của gà sẽ hạn chế sự phát triển của Salmonella trong gan và lách. Nghiên cứu của Shashidhara và Devegowda (2003) trên gà thịt chỉ ra rằng viêc bổ sung MOS còn giúp cải thiện được mật độ tinh trùng và tất cả các thông số về sinh sản như sản lượng trứng và tỷ lệ nở. Cải thiện tăng trọng trung bình hằng ngày lên tới 10% (Tian et al., 2016; Zhang và cộng sự, 2008), cải thiện hệ số chuyển hóa thức ăn 6% (Zhang và cộng sự, 2008; Tian et al., 2016) khi sử dụng β-Glucan.
Qua các kết quả thí nghiệm và nghiên cứu trên, cho thấy khẩu phần ăn bổ sung β-glucan và Mannan oligosacchride (Biolex MB40) giúp cải thiện sức khỏe, năng suất vật nuôi liên quan đến tăng trọng hàng ngày và tỷ lệ chuyển hóa thức ăn, và giảm tỷ lệ chết. Hơn nữa, chúng còn giúp ức chế phát triển của vi khuẩn dẫn đến giảm viêm và tiêu chảy, giảm sử dụng kháng sinh và tăng hiệu giá kháng thể sau khi tiêm vaccin. Do đó, β-glucans và MOS (Biolex-MB40) như là một công cụ có giá trị cho người chăn nuôi giúp thay thế cho thuốc kháng sinh.
Tác giả Saigon Nutrition Team